Merita un approfondimento la mortalità per disoccupazione, bassa istruzione e disagio abitativo. Mortalità nei poveri, oltre gli studi servono fatti
10maggio 2015 da Maurizio Marchi e Monica Pecori, Medicina democratica
Se ne occupava lo studio “La Mortalità per condizione socio-economico e professionale, nello studio longitudinale toscano, Comuni di Livorno e Firenze” della Regione Toscana, coordinato dall’epidemiologo Annibale Biggeri, nel 2001, che restò lettera morta. Purtroppo questo studio, importantissimo, si basava su dati molto vecchi, risalenti ai Censimenti 1981 e 1991, ma dava indicazioni eccezionalmente importanti su quanto il disagio sociale incidesse sulla salute. Ma nel frattempo è “scomparso” il disagio sociale, per far posto alla realtà virtuale delle Leopolde… Perfino la giunta Nogarin ha tagliato 400.000 euro agli aiuti ai più poveri, su un bilancio di 328 milioni di euro.
L’approccio sociale sembra scomparso dall’epidemiologia e dai piani sanitari. E’ una tragedia su scala nazionale, coinvolgente molti milioni di persone. Per merito del prof. Annibale Biggeri, e con il finanziamento molto magro della Regione Toscana, sta per partire un aggiornamento, più che doveroso, di quello studio.
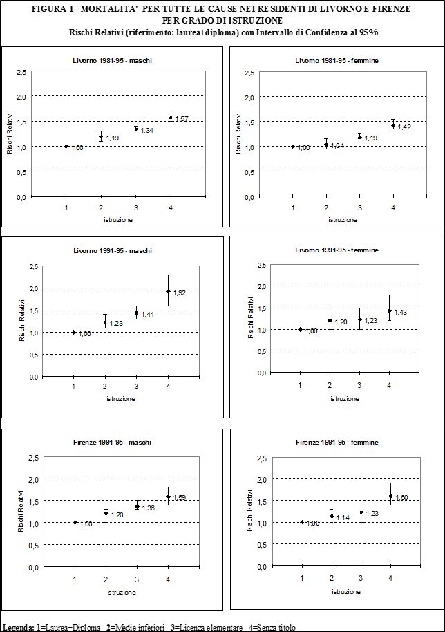
Nello studio del 2001, nella prima pagina di tabelle si vede quanto incida la scarsa scolarizzazione sulla mortalità per tutte le cause: a Livorno i “senza titolo di studio” muoiono per il 57% in più rispetto ai laureati/diplomati (fatto 100 questi ultimi), nei maschi, il 42% in più nelle femmine, negli anni 1981-1995.
La situazione peggiora, anziché migliorare, a Livorno negli anni 1991-1995, sia nei maschi (soprattutto) che nelle femmine. A Firenze negli anni 1991-1995 si osserva lo stesso fenomeno di Livorno, ma più lieve per gli uomini (59% in più) e più marcato per le donne (60% in più).
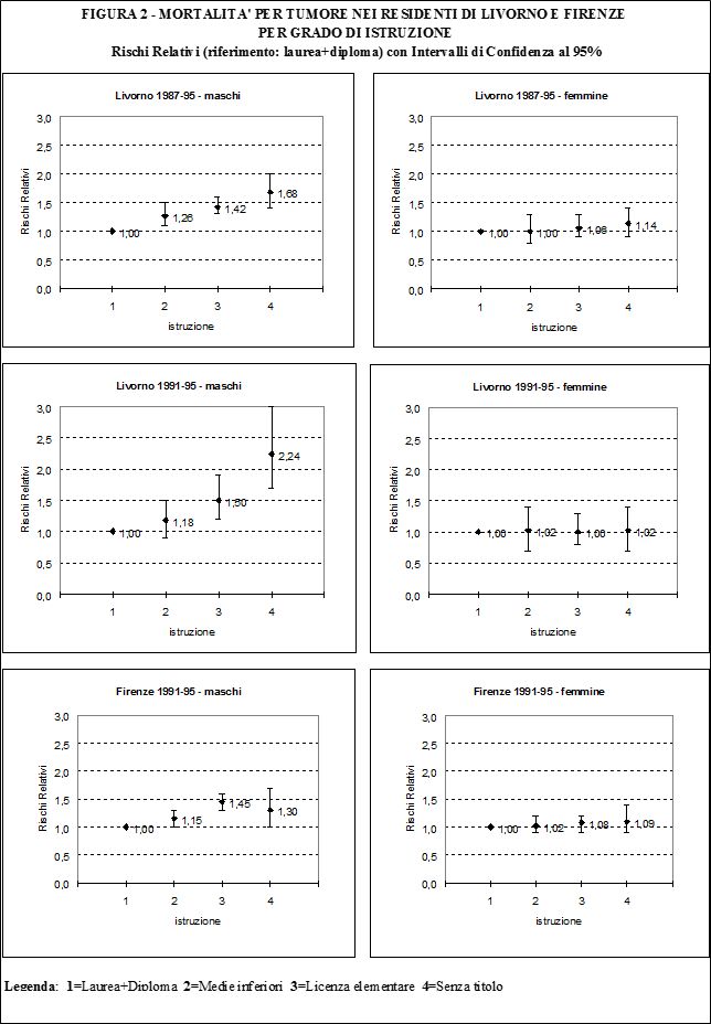
Nella seconda pagina di tabelle si osserva la maggiore mortalità per tumore al diminuire dell’istruzione: il 68 % in più per i maschi meno istruiti, il 14 % in più nelle femmine.
Negli anni più recenti (1991-95) la tendenza tracolla, raggiungendo nei maschi meno istruiti il 124 % in più, mentre nelle femmine si stabilizza al 2 % in più, suggerendo una difesa autodidatta nelle donne.
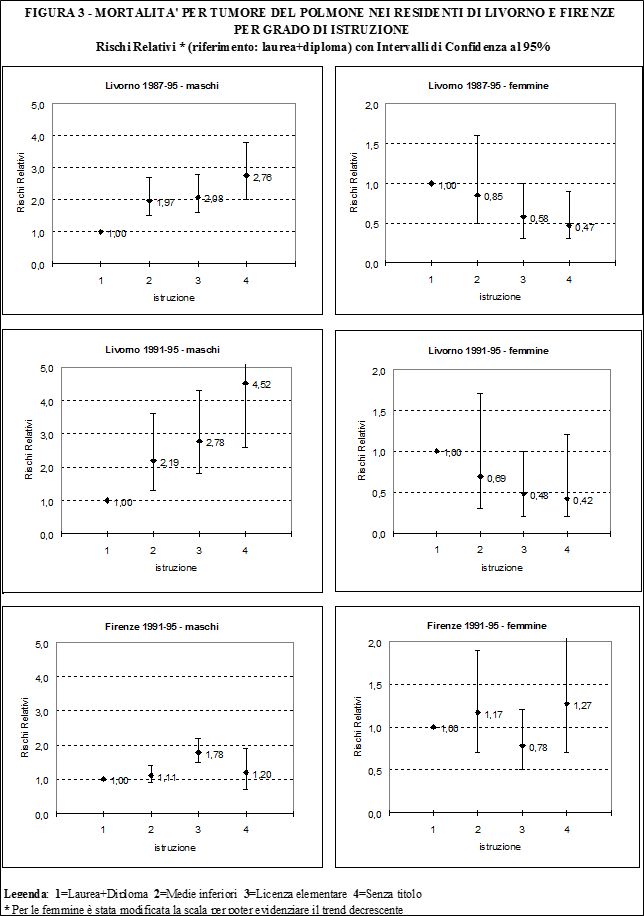
Nella terza pagina di tabelle balza all’attenzione una grande differenza tra Livorno e Firenze : per il tumore al polmone nel periodo 1987/95 i maschi meno istruiti muoiono in più del 176 %, e addirittura del 352% in più negli anni 1991-1995 a Livorno; mentre a Firenze muoiono “solo” il 78 % in più gli istruiti a livello elementare e il 20 % in più i senza titolo di studio. E le donne fiorentine del 27 % in più.
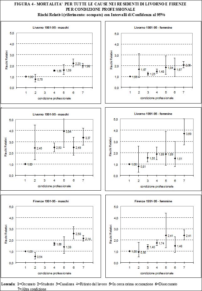
E’ evidentissimo in questa terza pagina di dati l’effetto di nocività ambientale di Livorno, compresa la nocività occupazionale. Più problematica è l’interpretazione dei dati di mortalità per tutte le cause “per condizione occupazionale”. Si oscilla tra percentuali comunque elevatissime: dal 294 % in più nei maschi di Livorno nel periodo 1991-95 ( 269 % in più nelle femmine) al 158% in più nei maschi disoccupati fiorentini (141% in più per le femmine). Fatta 100 un’occupazione “pulita”, questi dati suggeriscono tuttavia con gran forza che un’occupazione non nociva è fattore di salute fisica e mentale, come prescrive la Costituzione Italiana. Perché per i livornesi il dettato costituzionale del lavoro come diritto vale meno che a Firenze, dove vale già poco ?
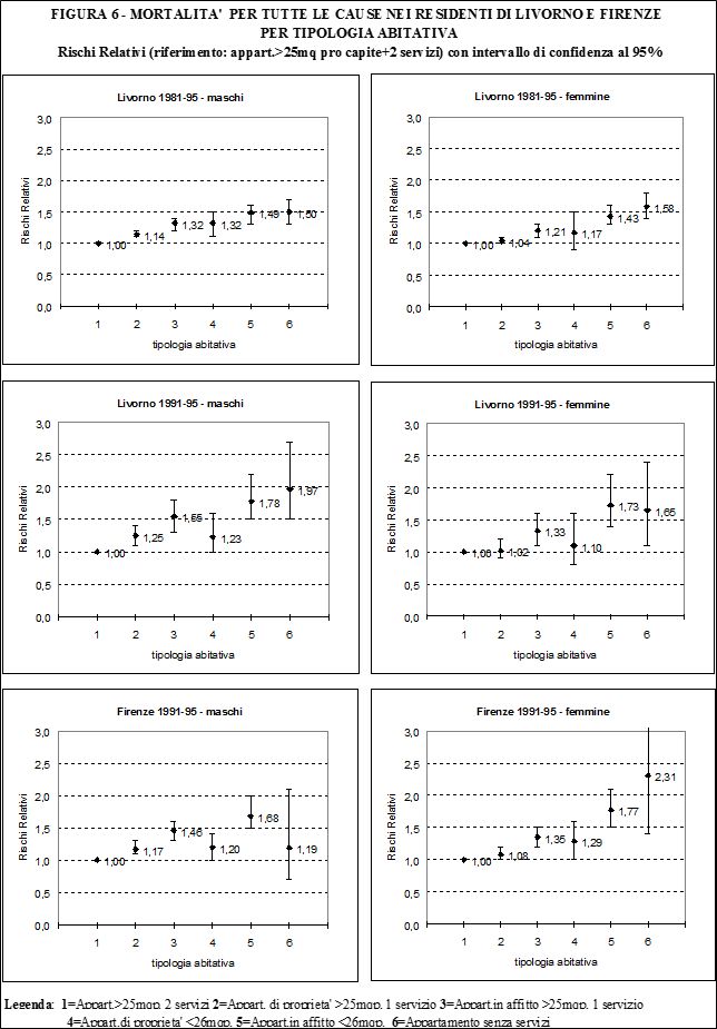
Nella pagina di tabelle “mortalità per tutte le cause” per tipologia abitativa, si capisce che il diritto ad una casa dignitosa, sufficientemente grande, riscaldata, con servizi adeguati, è un diritto imprescindibile per salvaguardare la salute, o al contrario per perderla. Il disagio abitativo pesa sulla perdita di salute in altissime percentuali sia a Livorno che a Firenze, ma è nelle donne fiorentine che raggiunge il massimo : 131% in più nelle donne che abitano in un locale senza servizi, nel periodo 1991-95.




